Konstruktion von Gewichtsketten für Zellenkotflügel
Sie sind hier: Heim » Nachrichten » Konstruktion von Gewichtsketten für Zellenkotflügel

Konstruktion von Gewichtsketten für Zellenkotflügel

Anzahl Durchsuchen:0     Autor:Site Editor     veröffentlichen Zeit: 2022-06-01      Herkunft:Powered

erkundigen

facebook sharing button
twitter sharing button
line sharing button
wechat sharing button
linkedin sharing button
pinterest sharing button
whatsapp sharing button
sharethis sharing button

Konstruktion von Gewichtsketten für Zellenkotflügel

Zusammenfassung: Dieses Papier beschreibt das Konstruktionsverfahren von Gewichtsketten für Zellenkotflügel.Wie Auswahl und Auslegung von Gewichtsketten, Berechnungsmethode der Spannung von Gewichtsketten usw.

Schlüsselwörter: Gummifender , -Frontrahmen , Gewichtskette, Gummiflexkette, Spannung an der Gewichtskette


Das Gummi-Kotflügelsystem vom Zellentyp besteht hauptsächlich aus dem Gummi-Kotflügelkörper vom Zellentyp und der Anti-Aufprallplatte.Die Prallplatte ist am vorderen Ende des Gummifenders montiert Stahlkonstruktionszubehör, das verwendet wird, um dem Aufprall des Schiffes standzuhalten und die Kontaktfläche zwischen dem Gummifender und dem Schiff zu vergrößern, um den Oberflächendruck des Gummifenders auf das Schiff zu verringern .Unter normalen Bedingungen kann der Zellkautschuk-Kotflügel selbst das Gewicht der Prallplatte tragen.Wenn jedoch das Gewicht der Aufprallschutzplatte die in Tabelle I angegebene zulässige statische Belastung überschreitet oder wenn die Gummifenderspezifikation 2000H überschreitet, muss eine Schwerkraftkette installiert werden, um den normalen Betrieb des Gummifendersystems sicherzustellen, wie in gezeigt Abbildung I.

Abbildung I

Aufbau von Gewichtsketten

Eine Gewichtskette ist im Allgemeinen in dem Gummikotflügelzylinder vom Zellentyp unter der Schwerkraft der Prallplatte angeordnet, ein Ende des Gummikotflügels befindet sich auf beiden Seiten, ein Ende der Kette ist an der Prallplatte befestigt und das andere Ende ist daran befestigt die Ufermauer, wie in Abbildung I gezeigt

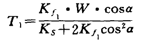
Berechnung der Kettenspannung

T=T1+T2

einstellen

W: Das Gewicht der Prallplatte

Ks: Scherelastizitätskoeffizient des Kotflügels

Kf: Elastizitätskoeffizient der Gummifederkette

α : Der Winkel zwischen Gummifederkette und Z-Achse

β : Der Winkel zwischen der Gummifederkette und der X-Achse



Abonnieren Sie unseren Newsletter

Erhalten Sie die neuesten Updates zu neuen Produkten und bevorstehenden Verkäufen
China Marine Rubber (Qingdao) Industrial Co., Ltd (CMR) ist ein professioneller Hersteller von Gummifendern für die Schifffahrt und technischen Gummiprodukten in China.

SCHNELLE LINKS

PRODUKTE

KONTAKTIERE UNS

 : +86-18766396886
 : +86-13953283589
 : Industriegebiet Jiaobei, Jiaozhou, Qingdao, China
Copyright © 2022 China Marine Rubber (Qingdao) Industrial Co.,Ltd. Sitemap | 鲁ICP备2022012721号| Technologie von leadong.com​​​​​​​